728x90
이산형 확률변수
: 0이 아닌 확률값을 갖는 확률 변수로 셀수 있는 경우

1. 베르누이 확률분포(Bernoulli distribution)

- 베르누이 시행(Bernoulli trial): 결과가 두 가지 중 하나로만 나오는 실험이나 시행
ex) 동전을 한 번 던져 앞면(H:Head)이 나오거나 뒷면(T:Tail)이 나오게 하는 것 - 베르누이 확률변수(Bernoulli random variable): 베르누이 시행의 결과를 실수 0 또는 1로 바꾼 것.
- 베르누이 확률분포: 베르누이 확률변수의 분포로 결과가 2개만 나오는 경우
ex. 동전던지기, 합격/불합격
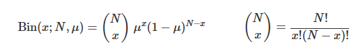
2. 이항분포(Binomial distribution)

- 성공확률이 μ 인 베르누이 시행을 N번 반복하는 경우
ex) 5번 중 3번 안타칠 확률 - 성공할 확률p가 0과 1에 가깝지 않고 n이 충분히 크면 정규분포에 가까워 짐

3. 기하분포(Geometric distribution)
- 성공확률이 p인 베르누이 시행에서 첫번째 성공이 있기까지 x번 실패할 확률

4. 다항분포(Multinomial distribution)

- 세가지 이상의 결과를 가지는 반복시행에서 발생하는 확률분포

5. 포아송분포(Poisson distribution)

- 시간과 공간내에서 발생하는 사건의 발생횟수에 대한 확률분포
- ex) 책에 오타가 5page 당 10개씩 나온다고 할 때, 한 페이지에 오타가 3개 나올 확률
야구 선수가 최근 5경기에서 10개의 홈런을 떄렸다고 할 때, 오늘 경기에서 홈런을 못 칠 확률

728x90
'통계학 > 통계' 카테고리의 다른 글
| [통계분석] ANOVA (분산분석) (2) | 2024.12.23 |
|---|---|
| [통계분석] t-test (t-검정) (2) | 2024.12.22 |
| 상관분석 정의 및 종류 + 예시(w. Python) (4) | 2024.12.09 |
| 정규성 검정 종류 및 Python Code (3) | 2024.12.07 |
| [확률분포] 연속형 확률분포 (2) | 2024.12.01 |