728x90
연속형 확률변수
: 가능한 값이 실수 거느 특정구간 전체에 해당하는 확률변수 (확률밀도함수)


1. 균등분포(Uniform distribution)

- 모든 확률변수 X가 균일한 확률을 가지는 확률분포
- ex) 다트

2. 정규분포(Normal distribution)


- 평균이 μ이고, 표준편차가 σ 인 x의 확률밀도함수
- 표준편차가 클 경우 퍼져보이는 그래프가 됨
3. 지수분포(Exponential distribution)


- 어떤 사건이 발생할 떄까지 경과 시간에 대한 연속확률분포
- ex) 전자레인지의 수명시간, 정류소에서 버스가 올 때까지의 시간
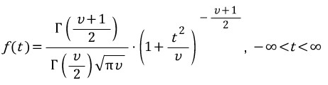
4. t-분포(t-distribution)


- 표본의 크기가 적을 때 사용. 평균이 0을 중심으로 좌우가 동일
- 표본이 30개 이상으로 커져 자유도가 증가하면 표준정규분포와 가까워 짐
- 두 집단의 평균이 동일한지 알고자 할 때 검정통계량으로 활용
5. x^2-분포(chi-square distribution)
- 모평균과 모분산이 알려지지 않은 모집단의 모분산에 대한 가설검정에 사용. 자유도 1개
- 두 집단간의 동질성 검정에 활용 (범주형 자료에 대해 얻어진 관측값과 기대값의 차이를 보는 적합성 검정에 활용)
6. F-분포(F-distribution)

- 확률변수는 항상 양의 값만 갖고 자유도가 2개
- 자유도가 커질수록 정규분포에 가까워짐
- 두 집단간 분산의 동일성 검정에 사용
728x90
'통계학 > 통계' 카테고리의 다른 글
| [통계분석] ANOVA (분산분석) (2) | 2024.12.23 |
|---|---|
| [통계분석] t-test (t-검정) (2) | 2024.12.22 |
| 상관분석 정의 및 종류 + 예시(w. Python) (4) | 2024.12.09 |
| 정규성 검정 종류 및 Python Code (3) | 2024.12.07 |
| [확률분포] 이산형 확률분포 (5) | 2024.11.30 |
